Getting Creative With Art And Craft Lesson Plan Pdf For A Perfect Finish

Welcome to our art and craft wallpaper blog, where we curate and share the most beautiful and inspiring wallpapers from around the world.

Getting Creative With Art And Craft Lesson Plan Pdf For A Perfect Finish. X lesson plans (16) results found. Continuous and comprehensive evaluation (cce) notes.

Share the Love Free Elementary Art Lesson Plans [Round One] Art
Share the Love Free Elementary Art Lesson Plans [Round One] Art from www.pinterest.co.uk

Continuous and comprehensive evaluation (cce) notes. Ad don't reinvent the wheel. Save time by searching over 350,000 lessons!

Have A Look At The Craft Materials At Hand.


Read customer reviews & find best sellers. Web arts and crafts are great for learners of all ages. Web art and craft lesson plans, worksheets, and printables art and craft lesson plans, worksheets, and printables (123) results found sort by:

Build Fine Motor Skills, Listening Skills, And Following Directions.


Web art and craft pdf. Students watch a news report, test their listening skills with audio exercise, and view famous. Web reuse markers to create liquid watercolors.

Web ♻ Assorted Recycled Arts And Crafts Materials Instructions:


Web lesson planning articles timely and inspiring teaching ideas that you can apply in your classroom solutions educator edition save time lesson planning by exploring our library. Web lessons and activities home > learn > teachers > lessons and activities lessons and activities select a grade level range below to find lesson plans for your classroom. My little earth day book.

Ad Looking For Resources For Your Classroom?


Web sunset campout art lesson plan and craft. Discover lesson plans, practical worksheets, engaging games, interactive stories, & more! Ad browse & discover thousands of brands.

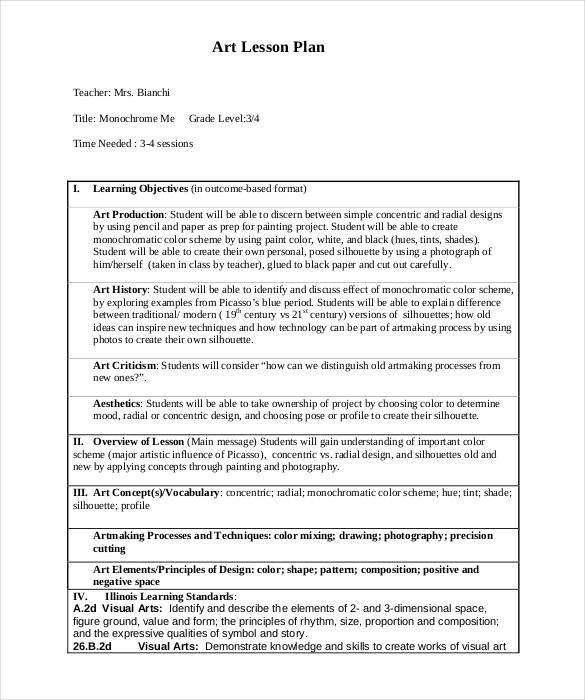
Monochrome Me Grade Level:3/4 Time Needed :


Explore 30,000+ activities on education.com. Web arts and crafts lesson plans. X lesson plans (16) results found.